2022/10/21
2022年10月,企航顧問為臺灣環訊集團全資子公司——環訊精密制品(南通)有限公司提供的《統計過程控制與過程能力分析》高級研修班圓滿結束。

【學員合影】

【培訓現場】

【培訓現場】
臺灣環訊集團始建于1979年,從事壓鑄產業,己有四十多年的經驗,在臺灣、上海及昆山均有生產據點,產品銷售遍及亞洲、美國、歐洲市場,往來客戶在國際市場上均頗負知名度。

關于過程能力分析
在產品制造過程中,工序是保證產品質量的最基本環節,工序能力分析是質量管理的一項重要的基礎工作,它有助于掌握各道工序的質量保證能力,為產品設計、工藝、工裝設計、設備的維修、調整、更新、改造提供必要的資料和依據。今天就來說說工序能力分析這點事。
過程能力也稱為工序能力,是指產品某一特性的固有變異性,在過程處于穩態時加工質量方面的能力,它代表的是過程在一段時間內穩定運行的性能。從內涵上看,至少應該包括四個要素:
1、針對產品某一特性,該特性應可測量,才能用測量數據做出控制圖;
2、過程處于穩態,穩態也稱為統計控制狀態,是指過程中只有偶然原因造成的質量變異,而無異常原因造成的質量變異;
3、加工能力,主要針對的是機械加工工序能力,但對于有參數特性的裝配調試工序,個人認為也是適用的;
4、質量方面的能力,是說過程能力取決于質量要素,與公差無關,通常用特性值分布的6倍標準偏差來表示,記為6σ。
過程能力與生產能力不同,生產能力指加工數量方面的能力(如:年產量3000臺),而過程能力取決于機器設備、材料、工藝、工藝裝備的精度、工人的工作質量以及其他技術條件。當過程處于穩態時,產品的質量特性有99.73%落在μ±3σ的范圍內(6σ),這幾乎包括了全部產品,當然它的數值越小越好。過程能力分析可以幫助我們掌握生產制造過程中產品特性的質量保證能力,從而為持續改善提供數據支持和依據,過程能力指數用Cp、Cpk表示。
1、雙側公差的過程能力指數
過程能力指數Cp是表征過程處于穩態時固有的波動狀態,即技術水平。它是在過程的平均值μ與目標值M(公差中心)重合的情形,如下圖:

而過程平均值μ = M =(USL + LSL)/2,從式(1)來看,σ越小,過程能力指數Cp越大,加工質量越高,但這時對設備及操作人員的要求也高,加工成本越大,所以對Cp值的選擇應根據技術與經濟綜合分析來決定。從理論上看,當Cp = 1時(USL–LSL = 6σ),既滿足技術要求又很經濟,但由于過程總是波動的,過程平均值μ和目標值M(公差中心)經常發生偏移(這是常態),不合格品率就會增加,因此,Cp通常取大于1。一般的,對于過程能力指數制定如下評價標準,供大家參考。

過程能力指數Cp如何計算呢?舉例如下:某車床加工軸的規格為50±0.01mm,在某段時間內測得σ=0.0025,求車床加工的過程能力指數。
Cp =(USL - LSL)/6σ = 0.02/(6×0.0025) = 1.33
在上面例子中,已經給定了公差上下限和標準差,但在實際工作中,一般公差中心和上下限應該是明確的,但標準差是沒有的,可以采用一組測量值的標準差S來替代,就可以求得過程能力指數Cp了。

2、單側公差的過程能力指數
如特性參數只有上限要求,而對下限沒有要求,則過程能力指數為:
CpU = (TU - μ)/3σ
當μ≥TU時,計CpU = 0,表示一批平均值大于上限要求的產品,也就談不上能力指數了。
如特性參數只有下限要求,而對上限沒有要求,則過程能力指數為:
CpL = (μ - TL)/3σ
當μ≤TL時,計CpL = 0,表示一批平均值小于下限要求的產品,也就談不上能力指數了。
3、有偏移的過程能力指數
當產品質量特性值分布的均值μ和公差中心M不重合,即有偏移時,不合格品率必然增大,Cp值降低,故Cp所計算的過程能力指數不能反應有偏移的實際情況,需要加以修正,因此引進一個偏移值K的參數,即過程平均值μ與目標值M的偏離程度,如下圖。

從式(4)可知,Cpk – Cp = |M-μ|/3σ,要使Cpk = Cp,|M-μ|/3σ是我們的改善機會。Cpk的計算同Cp一樣,必須在穩態下求得,計算過程如下:
某車床加工軸的規格為50±0.01mm,在某段時間內測得平均值μ=49.995,σ=0.0025,求車床加工的過程能力指數。
Cpk = T/6σ-|M-μ|/3σ = 0.02/(6×0.0025)- |50-49.995|/(3×0.0025)= 1.33-0.667 = 0.676
注意,前后兩個例子,平均值μ與公差中心M偏移了0.005mm,其他條件都沒有變化,從過程能力指數從1.33掉到了0.676,過程能力從“充分”變成了“不足”。
4、Cp和Cpk的比較說明
無偏移情況的Cp表示過程加工的一致性,即“質量能力”,Cp越大,則質量能力越強;而有偏移情況的Cpk反映過程中心μ與公差中心M的偏移情況,Cpk越大,則兩者的偏移越小,是過程“質量能力”與“管理能力”二者綜合的結果。故Cp與Cpk二者的著重點不同,需要同時加以考慮。
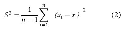
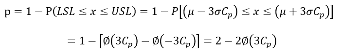
5、過程能力指數和不合格品率
在正態分布情況下,過程能力指數與不合格品率是一一對應的,過程能力指數越大,過程能力越強,不合格品率就越低,這也是我們需要提升過程能力(工序能力)的根本原因。以Cp為例作推導(Cpk只需類推即可)出不合格品率p如下。

6、過程能力指數和過程性能指數
IATF16949中提出了Pp、Ppk的新概念,稱之為過程性能指數,又稱為長期過程能力指數。C系列的過程能力指數是指過程的短期過程能力指數,而P系列的過程性能指數則是指過程的長期過程能力指數,P系列過程性能指數反映系統當前的實際狀態,而不要求在穩態的條件下進行計算,感興趣的朋友可以自行學習,這里不再詳細介紹。
7、結語
過程能力(工序能力),是指產品某一特性的固有變異性,在過程處于穩態時加工質量方面的能力,取決于質量要素,記為6σ。過程能力指數Cp表示均值μ與目標值M(公差中心)重合時,穩態過程固有的波動狀態,過程能力指數Cpk表示兩者有偏移時的狀態,過程能力指數與標準差σ成比,與不合格品率具有一一對應關系,變化趨勢與不合格品率相反。Cp表示過程加工的質量能力,而Cpk反映過程“質量能力”與“管理能力”二者綜合的結果。
學員版教材
點擊鏈接《環訊精密制品(南通)有限公司《統計過程控制與過程能力分析》高級研修班圓滿結束》
關于企航顧問
